Ley de Ampere
| ||||||
Ley de Ampère. Esta ley desempeña en el magnetismo un papel análogo a la Ley de Gauss en electrostática, descubierta por André Marie Ampère en 1831, relaciona un campo magnético estático con la causa que la produce, es decir, una corriente eléctrica estacionaria. James Clerk Maxwell la corrigió posteriormente y ahora es una de las ecuaciones de Maxwell, formando parte del electromagnetismo de la física clásica.
Sumario
Enunciado
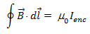
La circulación de la intensidad del campo magnético en un contorno cerrado es igual a la suma algebraica de las corrientes encerradas o enlazadas por el contorno multiplicadas por la permeabilidad del espacio libre.
El campo magnético es un campo angular con forma circular, cuyas líneas encierran la corriente. La dirección del campo en un punto es tangencial al círculo que encierra la corriente.
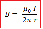
El campo magnético disminuye inversamente con la distancia al conductor.
Forma integral de la ley de Ampère
Donde:
- B: campo magnético
- dl: segmento infinitesimal del trayecto de integración
- μo: permeabilidad del espacio libre
- Ienc: corriente encerrada por el trayecto
En la forma en que se ha enunciado, la ley de Ampère resulta ser válida solo si las corrientes son estables y no están presentes materiales magnéticos ni campos eléctricos que varíen con el tiempo.
Aplicación de la ley de Ampère
Cálculo del campo creado por un hilo conductor infinito por el que circula una corriente I a una distancia r del mismo. Las líneas del campo magnético tendrán el sentido dado por la regla de la mano derecha para la expresión general del campo creado por una corriente, por lo que sus líneas de campo serán circunferencias centradas en el hilo, como se muestra en la siguiente figura.
Para aplicar la ley de Ampère se utiliza por tanto una circunferencia centrada en el hilo conductor de radio r. Los vectores B y dl son paralelos en todos los puntos de la misma, y el módulo del campo es el mismo en todos los puntos de la trayectoria. La integral de línea queda:
Empleando la ley de Ampère puede calcularse el campo creado por distintos tipos de corriente. Dos ejemplos clásicos son el del toroide circular y el del solenoide
Véase también
Fuentes
- Wikipedia
- forestales.upm.es
- Sears, Zemansky: Física Universitaria, Volumen II, Parte I. Editorial Félix Varela, La Habana, 2008.





