Regla de L'Hôpital

Regla de L'Hôpital
Información sobre la plantilla
L'Hopital.jpg
Concepto:Esta regla matemática que usa derivadas para ayudar a evaluar límites de funciones que estén en forma indeterminada, recibe su nombre en honor al matemático francés del siglo XVII Guillaume François Antoine.

Regla de L'Hôpital. Regla que usa derivadas para ayudar a evaluar límites de funciones que estén en forma indeterminada, se utiliza en matemática, más específicamente en el cálculo diferencial y también es conocida como regla de l'Hôpital-Bernoulli.

Historia

Esta regla recibe su nombre en honor al matemático francés del siglo XVII Guillaume François Antoine, marqués de l'Hôpital (1661 - 1704), quien dio a conocer la regla en su obra Analyse des infiniment petits pour l'intelligence des lignes courbes (1696), el primer texto que se ha escrito sobre cálculo diferencial, aunque actualmente se sabe que la regla se debe a Johann Bernoulli, que fue quien la desarrolló y demostró.

La regla se utiliza para resolver límites con la indeterminación del tipo 0/0 y la de infinito dividido infinito, aunque, en realidad, se puede aplicar en otras indeterminaciones después de operar en el límite para obtener una de las dos indeterminaciones anteriores.

Enunciado

La regla es la siguiente: si el límite del cociente de dos funciones tiende a cero dividido cero o a infinito dividido infinito, entonces el límite es igual al límite del cociente de las derivadas (siempre que no sea indeterminado). La regla puede aplicarse sucesivamente mientras que se tenga una de las dos indeterminaciones citadas.

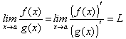
La regla de L´Hôpital permite resolver muchos casos de indeterminación de límites de funciones en un punto x = a. En principio un límite indeterminado de la forma:

Límite indeterminado.gif valdrá L, en caso de que también sea L el límite en x=a del cociente de las derivadas de numerador y denominador, es decir:

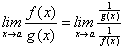
Cociente derivadas.gif De esta manera podemos resolver indeterminaciones del tipo 0/0.

Otras aplicaciones

La regla de L'Hôpital es mucho más general, pues es aplicable no sólo a la indeterminación 0/0, sino también a las indeterminaciones: infinito.gif (65 bytes)/ infinito.gif (65 bytes), 0×infinito.gif (65 bytes), infinito.gif (65 bytes)-infinito.gif (65 bytes). Por ejemplo, una indeterminación del tipo infinito.gif (65 bytes)/infinito.gif (65 bytes), provendrá de un límite de la forma:

Indeterminacion.gif

en donde las dos funciones f(x) y g(x) tiendan a infinito en x=a, y este límite obviamente no varía si lo expresamos en la forma:

Indeterminacion a.gif y ahora sí tiene la forma 0/0. En definitiva, la indeterminación infinito.gif (65 bytes)/infinito.gif (65 bytes) no es diferente de la 0/0.

Fuentes