Modulación Delta
| ||||||
Sumario
Principio de Funcionamiento.
Con la codificación tradicional se codifica cada muestra de forma independiente del resto asignándole su código correspondiente. Si la señal de interés tiene un alto rango dinámico y si desea un error de cuantificación bajo (es decir, que se puedan cuantificar diferencias de amplitud lo más pequeñas posibles) se necesita tener muchos niveles de cuantificación y, por lo tanto, tener muestras con más bits. Esto conlleva un mayor bitrate de transmisión y un mayor tamaño de almacenamiento de la señal. Una solución a lo anterior es cuantificar de forma diferencial, teniendo en cuenta la muestra anterior. Para ello se compara el valor de la señal en el instante de muestreo actual con el valor cuantificado en el instante de muestreo anterior. Si la señal en el instante de muestreo actual es mayor que el valor cuantificado en el instante de muestreo anterior será por que la señal está creciendo y, por lo tanto, el valor cuantificado actual será el valor anterior más un valor . Si ocurre lo contrario, será el valor anterior menos . Esto es conocido como la modulación delta. La señal transmitida es 1 solo bit que representa un escalón ± ∆. El esquema es el siguiente:
Características de la modulación Delta.
La modulación Delta se define como una alternativa válida para sistema con Modulación de impulsos codificados PCM, en la misma se sobremuestrea la señal mensaje intencionalmente para permitir el uso de una estrategia de cuantificación simple, para la construcción de la señal codificada. La modulación Delta sobremuestrea la señal a una tasa mucho mayor que la tasa de Nyquist, para aumentar la correlación entre muestras adyacentes, la misma se aproxima con una función escalera, para proveer la versión sobremuestreada de la señal mensaje.
Señal Delta.
Representación gráfica de la señal Delta:
donde.
m(t): Señal mensaje de entrada.
mq(t): Señal aproximada en escalera
m(n) = m(nTs) ; n = 0, ±1, ±2,…
Ts: Período de muestra
m(nTs): Muestra de la señal m(t) en t= nTs
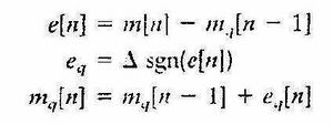
Representación Matemática.
e[n]: Señal de error, representa la diferencia entre la señal muestreada
m[n] y la última aproximación mq[n-1]
eq[n]: Versión cuantificada de e[n]
Sgn: Función signo
Modulador Delta.
El modulador Delta se genera a partir de la aplicación directa de la versión muestreada de la señal mensaje al modulador, que involucra las funciones de comparador, cuantificador y acumulador.
Comparador: Computa la diferencia entre las dos entradas separadas en el tiempo Ts. Cuantificador: Es un limitador simple con relación de 1 sólo escalón D de entrada / salida, afectado por la función signo. Acumulador: Produce el siguiente resultado.
En el instante de muestreo (nTs), el acumulador incrementa en un salto positivo ó negativo, dependiendo del signo algebraico de e[n], función de error.
Si la muestra de entrada m[n] es mayor que la última aproximación mq[n], se aplica un incremento positivo D y visceversa
Z-1: unidad de retardo de 1 período Ts
Demodulador Delta.
La escalera aproximada mq[n], es reconstruída, pasando la secuencia de pulsos producidos a la salida del decodificador a través de un acumulador, se manera similar al utilizado en el Tx. El ruido de cuantificación fuera de banda es rechazado por el filtro pasabajos de ancho de banda igual al mensaje original. El DM es objeto de dos tipos de error de cuantificación:
- Sobrecarga de pendiente: Cuando la velocidad de cambio es muy grande se tiene lo que se denomina sobrecarga de pendiente, puede reducirse aumentando la altura de los escalones.
- Ruido granular: Este es el resultado de la utilización de un escalón de altura muy grande en tramos donde la señal tiene poca variación. El ruido granular puede reducirse disminuyendo la altura de los escalones.
La salida del demodulador X (t ) , difiere de la entrada al modulador X (t ) , debido a ruido de cuantificación nq (t ) y al ruido debido a la transmisión de errores (ruido de canal) nd (t), esto es: X (t ) = X d (t ) + nq (t ) + nd (t )
En donde: X d (t ) es la componente de señal de salida (supuesta igual a X (t ) ) Y: nd (t ) y nq (t ) son las componentes de ruido a la salida del filtro de banda base. La calidad total de señal en los sistemas DM, al igual que en sistemas PCM, se mide en términos de la relación promedio de potencia de señal / ruido, a la salida del filtro de banda base.
Ventajas.
- La modulación delta sustituye tanto a la cuantificación como a la codificación tradicional. Se utiliza sobre la señal muestreada, es decir, no hay que cuantificar previamente.
- Esta modulación permite seguir señales de cualquier amplitud. Además el equipo transmisor y el receptor son muy sencillos.
- No se requiere sincronismo de palabra.
- Simple de implementar.
- Es una alternativa válida para sistema PCM.
Desventajas.
Presenta ruido granular, sobrecarga de pendiente, transitoria. Además necesita una frecuencia de muestreo varias veces superior a la de Nyquist. Esto es para que la predicción del valor anterior sea apropiada. Por último, si se realiza TDM, cada canal requerirá un receptor separado. Parte de los problemas se resuelven aumentando considerablemente la frecuencia de muestreo, pero si lo que se desea es reducir el ruido granular también conviene disminuir el paso del escalón. Para reducir la sobrecarga de pendiente conviene mas bien aumentar el paso del escalón. En la práctica se prefiere usar modulación delta adaptiva. Con la modulación de pulsos codificados se consigue una mejor relación señal ruido que con una modulación delta.
Enlaces Relacionados
Enlaces Externos
- Facultad de Ingenieria Eléctríca, Universidad de Oriente
- Ministerio de la Informática y las Comunicaciones
- Unión internacional de telecomunicaciones.
- The institute of electronics, information and communication engineering.
- IEEE communication society
Fuentes
- Whitaker Jerry. National Association of Broadcasters. Engineering HandBook
- COMMUNICATION SYSTEMS, Simon Haykin, 4ta. Ed.
- COMMUNICATION SYSTEMS, Simon Haykin, 3ra. Ed.
- http://iaci.unq.edu.ar/materias/telecomunicaciones/archivos/2007
- Modulaciones Delta, Comunicaciones eléctricas, Ing. Verónica M. Miró, 2007
- Miller, Gary; Modern electronic comunication, 7 ed., Prentice Hall, 2002
- Tomasi, Wayne; Sistemas de comunicaciones electrónicas, 4 ed., Pearson Educación, México, 2003
- Haykin, Simon; Sistemas de comunicación, 1ª. Ed., Limusa Wiley, México, 2005.
- Lathi, B. P., Introducción a la teoría y sistemas de comunicación, Limusa Wiley, México, 2004.
- Delta


