Ley de Bradford
| ||||||
Ley de Bradford. Descripción de una relación cuantitativa entre las revistas y los artículos científicos contenidos en una bibliografía sobre un tema determinado. Conocida además, como la ley de dispersión de la literatura científica de Bradford y distribución de Bradford.. [1]
Sumario
Descripción de la ley
Manifiesta que en la producción de artículos en las revistas existe una distribución altamente desigual donde la mayoría de los artículos están concentrados en una pequeña población de revistas, mientras que una pequeña proporción de artículos se dispersa sobre una alta cantidad de artículos. [2]
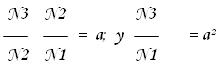
La Ley de Bradford puede expresarse de manera matemática de la siguiente forma: N1:N2:N3 1:a: a2, es decir:
- a = coeficiente de proporcionalidad de títulos entre zonas.
- Nn = número de artículos de títulos de revistas en las zonas 1, 2 y 3 con 1/3 de artículos cada uno aproximadamente.
Reseña histórica
La mayor parte de la literatura sobre leyes empíricas bibliométricas está relacionada con la ley de dispersión de Bradford. S. C. Bradford, quien fue un bibliógrafo británico, que estableció a inicios de 1930, que menos de la mitad de los documentos científicos útiles publicados están reunidos en las publicaciones periódicas sobre resúmenes.
Esta afirmación fue más tarde verificada por Derek de Solla Price en 1965: en cualquier año, el 35% de todos los documentos existentes no son citados del todo y 49% son citados sólo una vez, por diferentes razones, tales como: inadecuada indización y resumen y no disponibilidad.
La deficiencia en el control bibliográfico en esa época permitió a Bradford examinar la extensión que verdaderamente se le da a los artículos en las publicaciones periódicas dedicadas a diversos temas. Sus observaciones le permitieron su formulación de la ley de dispersión.
Desde que la ley fue publicada en 1948, se ha hecho gran cantidad de trabajo tratando de verificarla y probar su estabilidad; no hay dos de estos estudios subsiguientes que interpreten la ley en los mismos términos matemáticos.
La Ley de Bradford significó sin duda alguna un gran avance en las técnicas bibliométricas ya que se comienza a establecer como un indicador fijo bibliométrico para evaluar la productividad de las revistas, para muchos autores reconocidos en la materia representó también un basamento para nuevas perfecciones, sobre todo en el campo de la aplicación de esta Ley en el momento de la concentración de técnicas estadísticas y la representación gráfica.
Zonas de Bradford
El cálculo de las zonas de Bradford se realiza habitualmente de forma gráfica:
En muchas ocasiones el esfuerzo de determinación exacto de las zonas de Bradford no tiene interés práctico y se calcula la dispersión clasificando las revistas por orden decreciente de frecuencias de consumo, acceso o citas y se calcula el núcleo a partir del 50 % acumulado.
Véase también
Referencias
- ↑ Tortosa, F.M. & Civera, Cristina. (2002). Nuevas tecnologías de la información y documentación en psicología.
- ↑ Urbizagástegui, R. (1996). Una revisión crítica de la Ley de Bradford. Investigación Bibliotecológica. 10 (20), enero-junio.
- ↑ Spinak, Ernesto. (1996). Diccionario Enciclopédico de Bibliometría, Cienciometría e Informetría. Venezuela: UNESCO. pág. 38.
Fuentes
- Artículo: La ley de Bradford, publicado el 26 de noviembre de 2007. Disponible en: prociencia.wordpress.com. Consultado el 23 de febrero de 2022.
- Artículo: Bibliometría. (1990). Bibliotecas. vol. VIII, no.1. enero-junio, pp. 1-11. Disponible en: www.repositorio.una.ac.cr. Consultado el 13 de agosto de 2014.
- Artículo: Breve introducción a la bibliometría. Disponible en: diposit.ub.edu. Consultado el 13 de agosto de 2014.


