Arbol binario de búsqueda
| ||||||
Un árbol binario de búsqueda(ABB) es un árbol binario con la propiedad de que todos los elementos almacenados en el subárbol izquierdo de cualquier nodo x son menores que el elemento almacenado en x ,y todos los elementos almacenados en el subárbol derecho de x son mayores que el elemento almacenado en x. Un uso de los ABB es la representación de conjuntos como estructura de datos (SET).
Sumario
Árboles Binarios de Búsqueda
La búsqueda en árboles binarios es un método de búsqueda simple, dinámico y eficiente considerado como uno de los fundamentales en Ciencias de la computación. De toda la terminología sobre árboles, tan sólo recordar que la propiedad que define un árbol binario es que cada nodo tiene a lo más un hijo a la izquierda y uno a la derecha. Para construir los algoritmos consideraremos que cada nodo contiene un registro con un valor clave a través del cual efectuaremos las búsquedas. En las implementaciones que presentaremos sólo se considerará en cada nodo del árbol un valor del tipo Elemento aunque en un caso general ese tipo estará compuesto por dos: una clave indicando el campo por el cual se realiza la ordenación y una información asociada a dicha clave o visto de otra forma, una información que puede ser compuesta en la cual existe definido un orden.
Definición
Obsérvese la interesante propiedad de que si se listan los nodos del ABB en inorden nos da la lista de nodos ordenada. Esta propiedad define un método de ordenación similar al Quicksort, con el nodo raíz jugando un papel similar al del elemento de partición del Quicksort aunque con los ABB hay un gasto extra de memoria mayor debido a los punteros. La propiedad de ABB hace que sea muy simple diseñar un procedimiento para realizar la búsqueda. Para determinar si k está presente en el árbol la comparamos con la clave situada en la raíz, r. Si coinciden la búsqueda finaliza con éxito, si k < r es evidente que k, de estar presente, ha de ser un descendiente del hijo izquierdo de la raíz, y si es mayor será un descendiente del hijo derecho. La función puede ser codificada fácilmente de la siguiente forma:
#define ABB_VACIO NULL
#define TRUE 1
#define FALSE 0
typedef int tEtiqueta /*Algun tipo adecuado*/
typedef struct tipoceldaABB,
{
struct tipoceldaABB *hizqda,*hdrcha;
tEtiqueta etiqueta;
}
*nodoABB;
typedef nodoABB ABB;
Crear un árbol
ABB Crear(tEtiqueta et)
{
ABB raiz;
raiz = (ABB)malloc(sizeof(struct tceldaABB));
if (raiz == NULL)
error("Memoria Insuficiente.");
raiz->hizda = NODO_NULO;
raiz->hdcha = NODO_NULO;
raiz->etiqueta = et;
return(raiz);
}
Pertenece
int Pertenece(tElemento x,ABB t)
{
if(!t)
return FALSE;
else if(t->etiqueta==x)
return TRUE;
else if(t->etiqueta>x)
return pertenece(x,t->hizqda);
else
return pertenece(x,t->hdrcha);
}
Insertar
Es conveniente hacer notar la diferencia entre este procedimiento y el de búsqueda binaria.En éste podría pensarse en que se usa un árbol binario para describir la secuencia de comparaciones hecha por una función de búsqueda sobre el vector.En cambio en los ABB se construye una estructura de datos con registros conectados por punteros y se usa esta estructura para la búsqueda.El procedimiento de construcción de un ABB puede basarse en un procedimiento de inserción que vaya añadiendo elementos al árbol. Tal procedimiento comenzaría mirando si el árbol es vacío y de ser así se crearía un nuevo nodo para el elemento insertado devolviendo como árbol resultado un puntero a ese nodo.Si el árbol no está vacio se busca el elemento a insertar como lo hace el procedimiento pertenece sólo que al encontrar un puntero NULL durante la búsqueda,se reemplaza por un puntero a un nodo nuevo que contenga el elemento a insertar.El código podría ser el siguiente:
void Inserta(tElemento x,ABB *t)
{
if(!(*t))
{
*t=(nodoABB)malloc(sizeof(struct tipoceldaABB));
if(!(*t))
{
error("Memoria Insuficiente.");
}
(*t)->etiqueta=x;
(*t)->hizqda=NULL;
(*t)->hdrcha=NULL;
}
else if(x<(*t)->etiqueta)
inserta(x,&((*t)->hizqda));
else
inserta(x,&((*t)->hdrcha));
}
Por ejemplo supongamos que queremos construir un ABB a partir del conjunto de enteros {10, 5, 14, 7, 12} aplicando reiteradamente el proceso de inserción. El resultado es el que muestra la siguiente figura:
Análisis de la eficiencia de las operaciones
Puede probarse que una búsqueda o una inserción en un ABB requiere O(log2n) operaciones en el caso medio, en un árbol construido a partir de n claves aleatorias, y en el peor caso una búsqueda en un ABB con n claves puede implicar revisar las n claves, o sea, es O(n).
Es fácil ver que si un árbol binario con n nodos está completo (todos los nodos no hojas tienen dos hijos) y así ningún camino tendrá más de 1+log2n nodos. Por otro lado, las operaciones pertenece e inserta toman una cantidad de tiempo constante en un nodo. Por tanto, en estos árboles, el camino que forman desde la raíz,la secuencia de nodos que determinan la búsqueda o la inserción, es de longitud O(log2n),y el tiempo total consumido para seguir el camino es también O(log2n).
Sin embargo,al insertar n elementos en un orden aleatorio no es seguro que se sitúen en forma de árbol binario completo. Por ejemplo,si sucede que el primer elemento(de n situados en orden) insertado es el más pequeño el árbol resultante será una cadena de n nodos donde cada nodo, excepto el más bajo en el árbol, tendrá un hijo derecho pero no un hijo izquierdo. En este caso,es fácil demostrar que como lleva i pasos insertar el i-ésimo elemento dicho proceso de n inserciones necesita Σni-1 i->O(n2) pasos o equivalentemente O(n) pasos por operación.
Esquema de un ABB
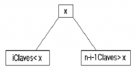
Es necesario pues determinar si el ABB promedio con n nodos se acerca en estructura al árbol completo o a la cadena, es decir, si el tiempo medio por operación es O(log2n), O(n) o una cantidad intermedia. Como es difícil saber la verdadera frecuencia de inserciones sólo se puede analizar la longitud del camino promedio de árboles "aleatorios" adoptando algunas suposiciones como que los árboles se forman sólo a partir de inserciones y que todas las magnitudes de los n elementos insertados tienen igual probabilidad. Con esas suposiciones se puede calcular P(n), el número promedio de nodos del camino que va de la raíz hacia algún nodo(no necesariamente una hoja). Se supone que el árbol se formó con la inserción aleatoria de n nodos en un árbol que se encontraba inicialmente vacío, es evidente que P(0)=0 y P(1)=1. Supongamos que tenemos una lista de n>=2 elementos para insertar en un árbol vacío, el primer elemento de la lista, x, es igual de probable que sea el primero,el segundo o el n-ésimo en la lista ordenada.Consideremos que i elementos de la lista son menores que x de modo que n-i-1 son mayores. Al construir el árbol, x aparecerá en la raíz, los i elementos más pequeños serán descendientes izquierdos de la raíz y los restantes n-i-1 serán descendientes derechos. Esquemáticamente quedaría como se muestra en la figura.
Fuentes
- http://www.conclase.net/c/edd/?cap=007 - Artículo escrito por Salvador Pozo Coronado
- http://casicodigo.blogspot.com/2012/11/arboles-binarios-de-busqueda-c.html

