Energía potencial
| ||||||
La energía potencial es la energía que mide la capacidad que tiene dicho sistema para realizar un trabajo en función exclusivamente de su posición o configuración. Puede pensarse como la energía almacenada en el sistema, o como una medida del trabajo que un sistema puede entregar. Suele abreviarse con la letra o .
Sumario
Energía potencial asociada a campos de fuerzas
La energía potencial puede definirse solamente cuando la fuerza es conservativa. Si las fuerzas que actúan sobre un cuerpo son no conservativas, entonces no se puede definir la energía potencial, como se verá a continuación. Una fuerza es conservativa cuando se cumple alguna de las siguientes propiedades:
- El trabajo realizado por la fuerza entre dos puntos es independiente del camino recorrido.
- El trabajo realizado por la fuerza para cualquier camino cerrado es nulo.
Cuando el rotacional de la fuerza es cero. Se puede demostrar que todas las propiedades son equivalentes (es decir, que cualquiera de ellas implica la otra). En estas condiciones, la energía potencial se define como:
Si las fuerzas no son conservativas no existirá en general una manera unívoca de definir la anterior integral. De la propiedad anterior se sigue que si la energía potencial es conocida, se puede obtener la fuerza a partir del gradiente de U:
También puede recorrerse el camino inverso: suponer la existencia una función energía potencial y definir la fuerza correspondiente mediante la fórmula anterior. Se puede demostrar que toda fuerza así definida es conservativa.
La forma funcional de la energía potencial depende de la fuerza de que se trate; así, para el campo gravitatorio (o eléctrico), el resultado del producto de las masas (o cargas) por una constante dividido por la distancia entre las masas (cargas), por lo que va disminuyendo a medida que se incrementa dicha distancia.
Energía potencial gravitatoria
La fuerza gravitatoria mantiene a los planeta|planetas en órbita en torno al sol. La energía potencial gravitatoria es la energía asociada con la fuerza gravitatoria. Esta dependerá de la altura relativa de un objeto a algún punto de referencia, la masa, y la fuerza de la gravedad.
Por ejemplo, si un libro apoyado en una mesa es elevado, una fuerza externa estará actuando en contra de la fuerza gravitacional. Si el libro cae, el mismo trabajo que el empleado para levantarlo, será efectuado por la fuerza gravitacional.
Por esto, un libro a 1 metro del piso tiene menos energia potencial que otro a 2 metros, o un libro de mayor masa a la misma altura.
Si bien la fuerza gravitacional varía junto a la altura, la diferencia es muy pequeña como para ser considerada, por lo que se considera a la aceleración de la gravedad como una constante. En la tierra por ejemplo, la aceleración de la gravedad es considerada de 9,8 m/s2 en cualquier parte. En cambio en la luna, cuya gravedad es muy inferior, se generaliza el valor de 1,66 m/s2
Para estos casos en los que la variacion de la gravedad es insignificante, se aplica la fórmula:
Donde es la energía potencial, la masa, la aceleración de la gravedad, y la altura. Sin embargo, si la variación de la acelereción de la gravedad es considerable, se debe aplicar la fórmula general:
Donde es la energía potencial, es la distancia entre la partícula material y el centro de la Tierra, la constante universal de la gravitación y la masa de la Tierra. Esta última es la fórmula que necesitamos emplear, por ejemplo, para estudiar el movimiento de satélites y misiles balísticos:
Cálculo simplificado
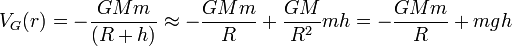
Cuando la distancia recorrida por un móvil h es pequeña, lo que sucede en la mayoría de las aplicaciones usuales (tiro parabólico, saltos de agua, etc.), podemos usar el desarrollo de Taylor a la anterior ecuación. Así si llamamos r a la distancia al centro de la tierra, R al radio de la Tierra y h a la altura sobre la superficie de la Tierra tenemos:
Donde hemos introducido la aceleración sobre la superficie:
Por tanto la variación de la energía potencial gravitatoria al desplazarse un cuerpo de masa m desde una altura h1 hasta una altura h2 es:
Dado que la energía potencial se anula cuando la distancia es infinita, frecuentemente se asigna energía potencial cero a la altura correspondiente a la del suelo, ya que lo que es de interés no es el valor absoluto de V, sino su variación durante el movimiento. Así, si la altura del suelo es h1 = 0, entonces la energía potencial a una altura h2 = h será simplemente VG = mgh.
Energía potencial electrostática
La energía potencial electrostática de un sistema formado por dos partículas de cargas q y Q situadas a una distancia r una de la otra es igual a:
Siendo K una constante universal o constante de Coulomb cuyo valor aproximado es 9×109 (voltios·metro/culombio). K = 1 / (4πε) donde ε es la permitividad del vacío.
Una definición de energía potencial eléctrica sería la siguiente: cantidad de trabajo que se necesita realizar para acercar una carga puntual de masa nula con velocidad constante desde el infinito hasta una distancia r de una carga del mismo signo, la cual utilizamos como referencia. En el infinito la carga de referencia ejerce una fuerza nula.
Es importante no confundir la energía potencial electrostática con el potencial eléctrico, que es el trabajo por unidad de carga:

