Error absoluto
| ||
El mínimo error absoluto máximo. Sea x -una aproximación por defecto de x* y x + una aproximación por exceso del mismo número x* . Si x es cualquier número del intervalo [x -, x+], este número x será una aproximación de x* cuyo error absoluto máximo puede ser determinado fácilmente.
Determinar el error absoluto
Para ello, considérese la figura 1. En ella se muestran las tres aproximaciones x -, x y x +. Como el verdadero valor x* pertenece al intervalo [x -, x +], entonces el error absoluto E(x) no puede exceder a la mayor de las dos distancias (x + - x) y (x -.x -) que determina x en el intervalo.
Es decir: Em (x) = max {x -.x -, x+ -x}
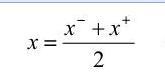
De la figura resulta obvio que el error absoluto máximo tomará su mínimo valor si se escoge x justo en el centro del intervalo [x -, x+], en ese caso Em (x) será exactamente la semiamplitud del intervalo, esto es:
S1 se toma
entonces se minimiza el error absoluto máximo, el cual será
Ejemplo
Se sabe que la raíz de una ecuación se encuentra en el intervalo [5,25; 5,37]. Si se torna como aproximación x = 5.3 ¿Cuál es el error absoluto máximo de esta aproximación? ¿Para qué valor de x se obtendría el menor error absoluto máximo`?
Solución:
De acuerdo con lo explicado anterionnente, para x = 5,3 se tiene:
Em (x) = max {5,3 -5,25; 5,37-5,3}= max {0,05; 0,07} =0,07
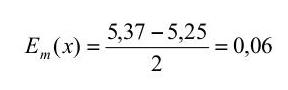
El error absoluto máximo se minimiza tomando x en el centro del intervalo [5,25; 5,37], es decir:
Para ese valor de x, el error absoluto máximo será:
Obsérvese que esto no significa que 5,31 esté más próximo a x* que 5,3. Tan solo puede afirmarse que si se toma x = 5,3 como aproximación, el error absoluto podría llegar hasta 0,07 pero tomando x = 5,31 el error absoluto no puede pasar de 0,06.
Fuentes
MATEMÁTICA NUMERICA II EDICIÓN, Manuel Álvarez, Alfredo Guerra, Rogelio Lau

