Lista de archivos
Esta página especial muestra todos los archivos subidos.
| Fecha | Nombre | Miniatura | Tamaño | Descripción | Versiones |
|---|---|---|---|---|---|
| 21:02 22 mar 2020 | Escudo de Dúrcal (Granada).svg.png (archivo) | 99 KB | 1 | ||
| 20:33 22 mar 2020 | Comunidad pri.jpg (archivo) | 12 KB | 1 | ||
| 21:25 20 mar 2020 | BIA.jpg (archivo) | 13 KB | 1 | ||
| 21:06 20 mar 2020 | JorgeBaronTelevision.png (archivo) | 63 KB | 1 | ||
| 22:10 16 mar 2020 | Catecolaminas.jpg (archivo) | 32 KB | 1 | ||
| 21:57 14 mar 2020 | Raptopamina.png (archivo) | 4 KB | 1 | ||
| 20:44 14 mar 2020 | Anglofobia1.jpg (archivo) | 11 KB | 1 | ||
| 20:47 12 mar 2020 | Analizador lex.jpg (archivo) | 27 KB | 1 | ||
| 21:59 10 mar 2020 | Rasomware nuevo.jpg (archivo) | 41 KB | 1 | ||
| 21:10 10 mar 2020 | Carding.jpg (archivo) | 7 KB | 1 | ||
| 22:07 8 mar 2020 | Cochinillo asad.jpg (archivo) | 73 KB | 1 | ||
| 20:53 8 mar 2020 | Pollo fritob.jpg (archivo) | 173 KB | 1 | ||
| 21:40 6 mar 2020 | Gallaina braseada.jpg (archivo) | 56 KB | 1 | ||
| 21:18 4 mar 2020 | Masas frita tacamara.jpg (archivo) | 12 KB | 1 | ||
| 00:36 3 mar 2020 | Pancita res.jpg (archivo) | 52 KB | 1 | ||
| 21:24 29 feb 2020 | Pollo ahogado nuevo.jpg (archivo) | 15 KB | 1 | ||
| 21:06 29 feb 2020 | Brisote.jpg (archivo) | 24 KB | 1 | ||
| 21:55 9 feb 2020 | Cristián-Boza.jpg (archivo) | 23 KB | 1 | ||
| 21:08 14 ene 2020 | Pan moldeb.jpg (archivo) | 15 KB | 1 | ||
| 21:46 12 ene 2020 | Ponche chirimoya.jpg (archivo) | 17 KB | 1 | ||
| 21:37 12 ene 2020 | Papasbravas1.jpg (archivo) | 16 KB | 1 | ||
| 22:19 17 dic 2019 | Annak.jpg (archivo) | 10 KB | 1 | ||
| 20:49 4 sep 2019 | Ponche-de-culénn.jpg (archivo) | 17 KB | 1 | ||
| 20:21 31 ago 2019 | German lorente.jpg (archivo) | 23 KB | 1 | ||
| 21:30 29 ago 2019 | Paz-undurraga-index.jpg (archivo) | 13 KB | 1 | ||
| 21:08 27 ago 2019 | La vida invisiblen.jpg (archivo) | 25 KB | 1 | ||
| 21:11 25 ago 2019 | Receta-de-leche-nevada-chilena.jpg (archivo) | 42 KB | 1 | ||
| 21:27 23 ago 2019 | The sopranos.jpg (archivo) | 19 KB | 1 | ||
| 21:27 19 ago 2019 | Jacques Diouf.jpg (archivo) | ![]() |
5 KB | 1 | |
| 21:23 17 ago 2019 | Estero2019.jpg (archivo) | 14 KB | 1 | ||
| 21:44 15 ago 2019 | Receta-de-queso-de-cabeza.jpg (archivo) | 38 KB | 1 | ||
| 20:43 11 ago 2019 | Adva.png (archivo) | 5 KB | 1 | ||
| 21:36 9 ago 2019 | Aprendizaje n.jpg (archivo) | 35 KB | 2 | ||
| 21:26 9 ago 2019 | Entrada neuro.jpg (archivo) | 8 KB | 1 | ||
| 21:22 9 ago 2019 | Pesos neuro.jpg (archivo) | 12 KB | 1 | ||
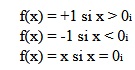
| 21:19 9 ago 2019 | Funcion activacion.jpg (archivo) | ![]() |
6 KB | 1 | |
| 21:04 9 ago 2019 | PrincipalRH.png (archivo) | 5 KB | 1 | ||
| 20:55 9 ago 2019 | Con lat.jpg (archivo) | 41 KB | 1 | ||
| 20:53 9 ago 2019 | Fun act.jpg (archivo) | 18 KB | 1 | ||
| 22:28 29 may 2019 | Margarita de mango.jpg (archivo) | 16 KB | 1 | ||
| 22:21 29 may 2019 | Salmon con mango.jpg (archivo) | 24 KB | 1 | ||
| 22:16 29 may 2019 | Quinoa con mango.jpg (archivo) | 23 KB | 1 | ||
| 21:50 29 may 2019 | Lomo-de-cerdo-asado-con-chutney-de-mango.jpg (archivo) | 12 KB | 1 | ||
| 22:27 25 may 2019 | Quichepoblano.jpg (archivo) | 11 KB | 1 | ||
| 22:15 25 may 2019 | Quicheverdurale.jpg (archivo) | 34 KB | 1 | ||
| 22:05 25 may 2019 | Quiche-lorraine.jpg (archivo) | 44 KB | 1 | ||
| 21:53 25 may 2019 | Quiche-espinacas.jpg (archivo) | 12 KB | 1 | ||
| 21:41 25 may 2019 | BaseQuiche.jpg (archivo) | 10 KB | 1 | ||
| 23:08 23 may 2019 | Rollosoya.jpg (archivo) | 18 KB | 1 | ||
| 22:45 23 may 2019 | Harinaso.jpg (archivo) | 9 KB | 1 |

