Lista de archivos
Esta página especial muestra todos los archivos subidos.
| Fecha | Nombre | Miniatura | Tamaño | Descripción | Versiones |
|---|---|---|---|---|---|
| 15:14 30 jun 2015 | MarioAbelVega.jpg (archivo) | 92 KB | 1 | ||
| 11:11 30 jun 2015 | Restricciones.JPG (archivo) | 12 KB | Restricciones en un modelo de programación lineal | 1 | |
| 11:00 30 jun 2015 | FuncionObjetivo.JPG (archivo) | 4 KB | Funcion objetivo del un problema de programación lineal | 1 | |
| 09:14 30 jun 2015 | AgregarRestriccion.JPG (archivo) | 12 KB | Ventana agregar restricciones en Solver | 1 | |
| 09:12 30 jun 2015 | VentanaSolver.JPG (archivo) | 24 KB | Ventana de Solver | 1 | |
| 08:24 28 jun 2014 | Grado apalancamiento operativo1.JPG (archivo) | 4 KB | 1 | ||
| 08:24 28 jun 2014 | Grado apalancamiento operativo.JPG (archivo) | 5 KB | 1 | ||
| 08:23 28 jun 2014 | Apalancamiento operativo.JPG (archivo) | 12 KB | Apalancamiento Operativo | 1 | |
| 14:20 3 abr 2013 | Ramon Arguelles.JPG (archivo) | 28 KB | 1 | ||
| 08:49 8 nov 2012 | Recta presupuestaria.JPG (archivo) | 5 KB | Recta presupuestaria | 1 | |
| 08:47 8 nov 2012 | Variacion ingresos.JPG (archivo) | 8 KB | Efecto de la variación del ingreso en la recta presupuestaria | 1 | |
| 08:45 8 nov 2012 | TMSM..JPG (archivo) | 2 KB | Tasa Marginal de Sustitución de Mercado | 1 | |
| 08:22 8 nov 2012 | TMS..JPG (archivo) | 2 KB | Tasa Marginal de Sustitución | 1 | |
| 08:17 8 nov 2012 | Mapa Curva indiferencia.JPG (archivo) | 7 KB | Mapa de curvas de indiferencia | 1 | |
| 08:11 8 nov 2012 | Curva indiferencia.JPG (archivo) | 5 KB | Curva Indiferencia | 1 | |
| 09:24 6 nov 2012 | Mov Curva oferta.JPG.JPG (archivo) | 7 KB | 2 | ||
| 09:08 6 nov 2012 | Despl Curva oferta.JPG (archivo) | 7 KB | Desplazamientos de la curva de oferta | 1 | |
| 09:06 6 nov 2012 | Curva oferta.JPG (archivo) | 6 KB | Curva de oferta | 2 | |
| 17:06 5 nov 2012 | Despl Curva demanda.JPG (archivo) | 6 KB | Desplazamiento de la curva de demanda | 2 | |
| 16:23 5 nov 2012 | Mov Curva demanda.JPG (archivo) | 6 KB | Movimientos en la curva de demanda | 1 | |
| 12:49 5 nov 2012 | Curva demanda.JPG (archivo) | 6 KB | 2 | ||
| 15:38 22 sep 2011 | LeyWien.JPG (archivo) | 1 KB | Ley de Desplazamiento de Wien | 1 | |
| 15:32 22 sep 2011 | LeyRayleighJeans.JPG (archivo) | 2 KB | Ley de Rayleigh – Jeans | 1 | |
| 15:31 22 sep 2011 | FormulaPlanck.JPG (archivo) | 3 KB | Fórmula de Planck. | 1 | |
| 15:31 22 sep 2011 | LeyStefanBoltzman.JPG (archivo) | 1 KB | Ley de Stefan – Boltzman | 1 | |
| 13:18 22 sep 2011 | VariacionFlujoMagnetico.JPG (archivo) | 1 KB | Rapidez con que varia el flujo magnético a través del área limitada por el circuito | 1 | |
| 13:14 22 sep 2011 | LeyInduccion1.JPG (archivo) | 2 KB | Ley de Faraday teniendo en cuenta el número de espiras y el comportamiento de la corriente inducida | 1 | |
| 13:12 22 sep 2011 | LeyInduccion.JPG (archivo) | 2 KB | Ley de Faraday | 1 | |
| 12:04 22 sep 2011 | InduccionElectromagnetica.JPG (archivo) | 11 KB | Inducción electromagnética | 1 | |
| 07:27 22 sep 2011 | ParametroBinomial.JPG (archivo) | 7 KB | Parámetros Distribución Binomial | 1 | |
| 11:08 21 sep 2011 | DNormal.JPG (archivo) | 10 KB | Distribución Normal | 1 | |
| 10:58 21 sep 2011 | DBinomial.JPG (archivo) | 5 KB | Distribución binomial | 1 | |
| 10:44 21 sep 2011 | FuncionProbContinua2.JPG (archivo) | 5 KB | Probabilidad de un intervalo | 1 | |
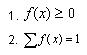
| 10:36 21 sep 2011 | FuncionProbDiscreta.JPG (archivo) | 2 KB | Función de probabilidad variable discreta | 1 | |
| 10:00 21 sep 2011 | FuncionProbCintinua.JPG (archivo) | 5 KB | Función de probabilidad variable continua | 1 | |
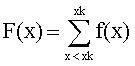
| 09:56 21 sep 2011 | FuncionDistribucion.JPG (archivo) | 2 KB | Función de distribución. | 1 | |
| 09:52 21 sep 2011 | FuncionDistrDiscreta.JPG (archivo) | 3 KB | Función de distribución para variable aleatoria discreta. | 1 | |
| 09:50 21 sep 2011 | FuncionDistrContinua.JPG (archivo) | 2 KB | Función de distribución para variable aleatoria continua. | 1 | |
| 09:48 21 sep 2011 | CalculoProbabilidad.JPG (archivo) | 5 KB | Cálculo de probabilidad a partir de la función de distribución | 1 | |
| 15:36 20 sep 2011 | SegundaVelocidad.JPG (archivo) | 3 KB | Segunda velocidad cósmica | 1 | |
| 15:15 20 sep 2011 | PrimeraVelocidad.JPG (archivo) | 2 KB | Primera velocidad cósmica | 1 | |
| 13:04 20 sep 2011 | RendTermico.JPG (archivo) | 2 KB | Rendimiento Térmico | 1 | |
| 13:03 20 sep 2011 | TrabajoMotorTermico.JPG (archivo) | 2 KB | Trabajo del Motor Térmico | 1 | |
| 09:30 20 sep 2011 | LeyGayLussac.JPG (archivo) | 2 KB | Ley de Gay-Lussac | 1 | |
| 09:28 20 sep 2011 | LeyCharles.JPG (archivo) | 2 KB | Ley de Charles | 1 | |
| 09:26 20 sep 2011 | LeyBoyleMariotte.JPG (archivo) | 2 KB | Ley de Boyle – Mariotte | 1 | |
| 09:23 20 sep 2011 | EcuacionEstado.JPG (archivo) | 1 KB | Ecuación de Estado del gas ideal | 1 | |
| 09:17 20 sep 2011 | EcuacionClapeyron.JPG (archivo) | 2 KB | Ecuación de Clapeyron | 1 | |
| 07:43 19 sep 2011 | FormulaDBinomial.JPG (archivo) | 3 KB | Fórmula Distribución Binomial | 1 | |
| 13:16 6 sep 2011 | HojaVerificacion.JPG (archivo) | 24 KB | Hoja de Verificación | 1 |