Fracción algebraica
| ||||||
Fracciones Algebraicas: Cociente de dos polinomios. Estas se pueden representar de la siguiente forma:
Sumario
Fracciones algebraicas
Si A y B son dos expresiones algebraicas con B ≠ 0, y en B aparece al menos una variable con exponente entero positivo, el cociente indicado recibe el nombre de fracción algebraica.
Son fracciones algebraicas:
Simplificación y ampliación de fracciones algebraicas
En una fracción algebraica, al igual que una fracción numérica, también es posible multiplicar o dividir el numerador y el denominador por un mismo factor (diferente de cero), obteniéndose así una nueva fracción equivalente a la fracción dada.
Para amplificar una fracción algebraica se multiplica el numerador y el denominador de la fracción por un polinomio.
Ejemplo:
Ejemplo:
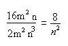
Simplifica las fracciones algebraicas siguientes:
Para simplificar esta expresión algebraica dividimos el numerador y el denominador por 2m2n (que es el mayor factor común a ambos).
Aquí no se puede simplificar directamente; tenemos que descomponer en factores el numerador y el denominador
Operaciones con fracciones algebraicas
Multiplicación
Para multiplicar fracciones algebraicas se procede de forma análoga que para multiplicar fracciones comunes.
Si tenemos las fracciones algebraicas se cumple que:
Con el objetivo de obtener un resultado ya simplificado, es conveniente proceder de la forma siguiente:
- Factorizar los numeradores y denominadores de las fracciones dadas (cuando no lo estén ya).
- Simplificar los factores que se comunes a los numeradores y denominadores.
- Efectuar las multiplicaciones indicadas.
Ejemplo:
Efectúa las multiplicaciones siguientes:
Como los denominadores y los numeradores son monomios, se procede a simplificar y después efectuamos los productos indicados.
Descomponemos en este caso el numerador del primer factor (diferencia de cuadrado), el numerador del segundo factor (binomio, extracción de factor común) y el denominador del segundo factor (trinomio)
Simplificamos y efectuamos la multiplicación
Eliminamos el paréntesis multiplicando 2 por m+2
División
El procedimiento para dividir fracciones algebraicas es el mismo que ya conoces para dividir fracciones comunes.
Si tenemos las fracciones algebraicasse cumple que:
Luego:
Para dividir una fracción algebraica por otra, se efectúa el producto del dividendo por el recíproco del divisor.
Ejemplo:
Efectúa las divisiones siguientes:
- Efectuamos el producto del dividendo por el recíproco del divisor.
- Descomponemos: en el numerador del primer factor la diferencia de cuadrado y extraemos factor común en el denominador del segundo factor.
- Efectuamos la multiplicación y eliminamos el paréntesis.
Adición y sustracción
Para adicionar o sustraer fracciones algebraicas se procede de forma análoga que para multiplicar fracciones comunes.
Luego aplicaremos el procedimiento siguiente:
- Determinar el m.c.m de los denominadores, que será el denominador común.
- Dividir el denominador común por cada uno de los denominadores y ampliar los numeradores
- Efectuar los productos indicados en el numerador y reducir términos semejantes, en caso de que existan.
- Simplificar el resultado si es posible.
Ejemplo.
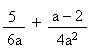
Calcula y simplifica si es posible.
- Se determina el m.c.m de 6a y 4a2, que es 12a2.
- Se divide este término por 6a y 4a2 respectivamente y se obtiene los factores de ampliación 2a y 3.
- Se multiplica 2a por 5 y 3 por a – 2
- Se efectúan los productos indicados y se agrupan términos semejantes.
- Se simplifica si es posible
- Para determinar el m.c.m se factoriza el denominador de la primera fracción, luego el m.c.m es (x + 4) (x – 2), ya que dicha expresión contiene a (x – 2)
- Se divide el m.c.m por cada denominador y se amplían los numeradores.
- Se efectúan los productos indicados.
- Se agrupan términos semejantes y se simplifica si es posible.
Fuentes
- Libro de texto de Matemática 9no Grado.
- Vitutor
- Álgebra


