Ley de Coulomb
Ley de Coulomb. La magnitud de cada una de las fuerzas eléctricas con que interactúan dos cargas puntuales en reposo es directamente proporcional al producto de la magnitud de ambas cargas e inversamente proporcional al cuadrado de la distancia que las separa. Charles Augustin de Coulomb (1736-1806) midió cuantitativamente la atracción y repulsión eléctricas y dedujo la ley que las gobierna.
Sumario
Desarrollo de la ley
Coulomb desarrolló la balanza de torsión con la que determinó las propiedades de la fuerza electrostática. Este instrumento consiste en una barra que cuelga de una fibra capaz de torcerse. Si la barra gira, la fibra tiende a regresarla a su posición original, con lo que conociendo la fuerza de torsión que la fibra ejerce sobre la barra, se puede determinar la fuerza ejercida en un punto de la barra. La ley de Coulomb también conocida como ley de cargas tiene que ver con las cargas eléctricas de un material, es decir , depende de sus cargas sean negativas o positivas.
En la barra de la balanza, Coulomb colocó una pequeña esfera cargada y a continuación, a diferentes distancias, posicionó otra esfera también cargada. Luego midió la fuerza entre ellas observando el ángulo que giraba la barra.
Dichas mediciones permitieron determinar que:
- La fuerza de interacción entre dos cargas q1 y q2duplica su magnitud si alguna de las cargas dobla su valor, la triplica si alguna de las cargas aumenta su valor en un factor de tres, y así sucesivamente. Concluyó entonces que el valor de la fuerza era proporcional al producto de las cargas: Fα q1 y Fα q2 en consecuencia Fα q1q2
- Si la distancia entre las cargas es
al duplicarla, la fuerza de interacción disminuye en un factor de 4 (2²); al triplicarla, disminuye en un factor de 9 (3²) y al cuadriplicar la fuerza entre cargas disminuye en un factor de 16 (4²). En consecuencia, la fuerza de interacción entre dos cargas puntuales, es inversamente proporcional al cuadrado de la distancia:
Asociando ambas relaciones:
Finalmente, se introduce una constante de proporcionalidad para transformar la relación anterior en una igualdad:
Enunciado de la ley
La ley de Coulomb es válida sólo en condiciones estacionarias, es decir, cuando no hay movimiento de las cargas o, como aproximación cuando el movimiento se realiza a velocidades bajas y en trayectorias rectilíneas uniformes. Es por ello que es llamada fuerza electrostática
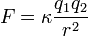
En términos matemáticos, la magnitud F de la fuerza que cada una de las dos cargas puntuales q1 y q2 ejerce sobre la otra separadas por una distancia d se expresa como:
Dadas dos cargas puntuales q1 y q2 separadas una distancia d en el vacío, se atraen o repelen entre sí con una Fuerza cuya magnitud está dada por:
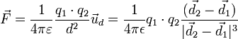
La Ley de Coulomb se expresa mejor con magnitudes vectoriales:
donde
es un Vector unitario que va en la dirección de la recta que une las cargas, siendo su sentido desde la carga que produce la fuerza hacia la carga que la experimenta.
Al aplicar esta fórmula en un ejercicio, se debe colocar el signo de las cargas q1 o q2 ,según sean éstas positivas o negativas.
El exponente (de la distancia: d) de la Ley de Coulomb es, hasta donde se sabe hoy en día, exactamente 2. Experimentalmente se sabe que, si el exponente fuera de la forma
, entonces
.
Obsérvese que esto satisface la tercera de la ley de Newton debido a que implica que fuerzas de igual magnitud actúan sobre q1 y q2 . La ley de Coulomb es una ecuación vectorial e incluye el hecho de que la fuerza actúa a lo largo de la línea de unión entre las cargas.
Constante de Coulomb
La constante K es la Constante de Coulomb y su valor para unidades SI es
Nm²/C².
A su vez la constante
donde
es la permitividad relativa,
, y
F/m es la permitividad del medio en el vacío.
Cuando el medio que rodea a las cargas no es el vacío hay que tener en cuenta la Constante dieléctrica y la Permitividad del material.
La ecuación de la ley de Coulomb queda finalmente expresada de la siguiente manera:
La constante, si las unidades de las cargas se encuentran en Coulomb es la siguiente K = 9 * 109 * N * m2 / C2 y su resultado será en sistema MKS (N / C) En cambio, si la unidad de las cargas están en UES (q), la constante se expresa de la siguiente forma
K = d * m2 / ues(q) y su resultado estará en las unidades CGS (D / UES(q))
Comparación entre la Ley de Coulomb y la Ley de la Gravitación Universal
Esta comparación es relevante ya que ambas leyes dictan el comportamiento de dos de las fuerzas fundamentales de la naturaleza mediante expresiones matemáticas cuya similitud es notoria.
La Ley de la gravitación universal establece que la fuerza de atracción entre dos masas es directamente proporcional al producto de las mismas e inversamente proporcional al cuadrado de la distancia que las separa.
Expresándolo matemáticamente:
siendo G la constante de gravitación universal, m1 ym2 las masas de los cuerpos en cuestión y r la distancia entre los centros de las masas. Gvale 6,67·10-11 Nm2/kg2.
A pesar del chocante parecido en las expresiones de ambas leyes se encuentran dos diferencias insoslayables.
La primera es que en el caso de la gravedad no se han podido observar masas de diferente signo como sucede en el caso de las cargas eléctricas, y la fuerza entre masas siempre es atractiva.
La segunda tiene que ver con los órdenes de magnitud de la fuerza de gravedad y de la fuerza eléctrica. Para aclararlo analizaremos como actúan ambas entre un protón y un electrón en el núcleo de hidrógeno.
La separación promedio entre el electrón y el protón es de 5,3•10-11 m.
La carga del electrón y la del protón valen
y
respectivamente y sus masas son
y
.
Sustituyendo los datos:
Al comparar resultados se observa que la fuerza eléctrica es de unos 39 órdenes de magnitud superior a la fuerza gravitacional.
Lo que esto representa puede ser ilustrado mediante un ejemplo muy llamativo.
1 C (Coulomb) equivale a la carga que pasa en 1 s por cualquier punto de un conductor por el que circula una corriente de intensidad 1 A constante. En viviendas con tensiones de 220 Vrms, esto equivale a un segundo de una bombilla de 220 W (120 W para las instalaciones domésticas de 120 Vrms).
Si fuera posible concentrar la mencionada carga en dos puntos con una separación de 1 metro, la fuerza de interacción sería:
, o sea, ¡916 millones de Kilopondios, o el peso de una masa de casi un millón de Toneladas (un teragramo)!
Si tales cargas se pudieran concentrar de la forma indicada más arriba, se alejarían bajo la influencia de esta enorme fuerza, ¡aunque tuvieran que arrancarse del acero sólido para hacerlo!
Si de esta hipotética disposición de cargas resultan fuerzas tan enormes, ¿por qué no se observan despliegues dramáticos debidos a las fuerzas eléctricas? La respuesta general es que en un punto dado de cualquier conductor nunca hay demasiado alejamiento de la neutralidad eléctrica. La naturaleza nunca acumula un Coulomb de carga en un punto.
Limitaciones de la Ley de Coulomb
- La expresión matemática solo es aplicable a cargas puntuales estacionarias.
- Para distancias pequeñas (del órden del tamaño de los Átomos), la fuerza electrostática se ve superada por otras, como la Nuclear fuerte, o la Nuclear débil.


