Ley de Lotka
| ||||||
Ley de Lotka. Ley de cuantificación bibliométrica basada en una distribución de probabilidades discreta que describe la productividad de autores. Es la descripción de una relación cuantitativa entre los autores y los artículos científicos producidos en un campo dado y en un período de tiempo. El mayor número de autores publican el menor número de trabajos, mientras que el menor número de autores publica un mayor número de trabajos, siendo este el grupo más prolífico.
Sumario
Reseña histórica
En 1926 Alfred Lotka estuvo interesado en conocer cómo el aporte de diferentes figuras reconocidas en las distintas tendencias del quehacer de la actividad generadora del conocimiento, cooperaba al desarrollo de las Ciencias, e incurre en un estudio de la producción de artículos en química y física, analizando la productividad de los científicos de forma individual en los índices del Chemical Abstracts por 20 años (1907–1916); comienza por la realización de un conteo de la incidencia de cada autor y la cantidad de veces que se encontraban, por lo que logró contabilizar 6 891 nombres que comenzaban con las letras A y B.
De los datos observados, formuló una ley empírica describiendo la productividad de los autores en una población dada: el número de químicos (N) que publican publicaciones químicas es proporcional a 1/n2 de esos químicos.
Derek de Solla Price reescribió la ley así: la mitad de los documentos científicos son contribución de la raíz cuadrada del total del número de autores científicos.
En una discusión sobre la ley de Lotka, William Gray Potter dijo que:
Alfred Lotka fue el primero en proporcionar un modelo de distribución tamaño/frecuencia, estudiando la productividad de los autores de la química, cediendo las bases para desarrollar lo que hoy se conoce como la Ley cuadrada inversa de Lotka.
A pesar del esfuerzo de Lotka muchos autores coinciden que la Ley no es estadísticamente exacta, pero sin duda alguna para la época y la posterioridad la Ley de productividad de Lotka ha significado un avance en el menester diario por medir los resultados de la actividad de la comunidad científica.
Descripción física de la ley
Expresa, que el mayor número de autores publican el menor número de trabajos, mientras que el menor número de autores publica un mayor número de trabajos, siendo este el grupo más prolífico.
- Es la ley de la distribución de los autores según su productividad.
- Propuesta por Lotka y dada a conocer por Price.
- Es formalmente equivalente a la Ley de Pareto de la Economía.
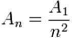
- Verbalmente se enuncia diciendo que: "El número de autores, An, que publican n trabajos sobre una materia es inversamente porporcional a n2".
De dónde An es el número de trabajos que corresponden a determinado número de autores aplicando la Ley de Lotka, A1 son el número de trabajos elaborados por un único autor n2 es el número de autores para el cual se quiere calcular los trabajos que le corresponderían aplicando la Ley del crecimiento exponencial elevado al cuadrado.
- Implica que muy pocos autores publican la mayoría de los trabajos: Para una productividad alta (n grande), el número de autores, An, es bajo, ya que ambas variables son inversas.
- Nunca es exactamente cuadrática, pero se puede generalizar diciendo que el número de trabajos firmados se eleva a un exponente m, que puede ser algo diferente a 2.
Indicadores medibles
- Indicadores de Circulación: Miden la presencia de documentos en las bibliotecas y bases de datos bibliográficas. Están condicionados por la especialización y el idioma de las publicaciones. Estos indicadores se utilizan para ver la distribución de las revistas y su cobertura en las bases de datos. Los principales indicadores son:
- Número de trabajos circulantes: Cantidad de trabajos indizados en las bases de datos.
- Índice de circulación: Cociente del número de trabajos circulantes y la totalidad de los trabajos publicados por una revista en un período.
- Índice de productividad circulante: Logaritmo del número de trabajos circulantes.
- Indicadores de Dispersión: Es importante estudiar la dispersión de la información científica debido a la gran variabilidad de estas dispersiones, ya que en ocasiones, los trabajos se concentran en un número muy reducido de revistas, mientras que en otras, se dispersan en una cifra muy elevada. Algunas veces la zona de máxima densidad coincide con revistas especializadas, pero frecuentemente coinciden con revistas de carácter general.
- Indicadores de uso de la Literatura Científica: El consumo de información se mide a través del cómputo de publicaciones y el análisis de referencias. La diferencia entre las referencias y las citas es que, en las primeras, se hace referencia a trabajos publicados con anterioridad y las citas se reciben de trabajos posteriores.
- Indicadores de Visibilidad o Impacto: Se basan en los recuentos del número de citaciones que reciben los documentos durante un periodo determinado de tiempo o a partir de su publicación. La media es de 15 referencias por artículo. La recepción de citas es muy asimétrica.
- Indicadores de colaboración: Estos indicadores miden las relaciones que han existido entre los productores o agentes científicos y que han finalizado con la publicación conjunta de resultados científicos. Se basan en los datos de autoría.
Véase también
Referencias
- ↑ Urbizagástegui Alvarado, Rubén. (2005). La productividad científica de los autores. Un modelo de aplicación de la ley de Lotka por el método del poder inverso generalizado. Información, cultura y sociedad. (12), (ene-jun), Ciudad Autónoma de Buenos Aires. Información tomada del sitio: www.scielo.org.ar. Consultado el 13 de agosto de 2014.
Fuente
- Artículo: Urbizagastegui, Rubén. (1999). La ley de Lotka y la literatura de bibliometría. Investigación Bibliotecológica. 13(27). Información tomada del sitio: rev-ib.unam.mx. Consultado el 23 de febrero de 2022.
- Artículo: Ley de Lotka. Información tomada del sitio: es-academic.com. Consultado el 23 de febrero de 2022.
- Artículo: Bibliometría (1990). Bibliotecas. VIII (1). (enero-junio). pp. 1-11. Disponible en: www.repositorio.una.ac.cr. Consultado el 13 de agosto de 2014.
- Artículo: Ley de Lotka. Disponible en: www.ugr.es. Consultado el 13 de agosto de 2014.



