Ley de distribución de Nernst
| ||||||
La Ley de distribución de Nernst o ley de reparto, se define cuando una sustancia se distribuye entre dos líquidos miscibles entre sí o ligeramente miscibles, y la relación de las concentraciones de dicha sustancia en las dos fases es constante, independientemente de la cantidad de soluto que se disuelva o del volumen de líquido empleado. Esta ley fue planteada por Walther Nernst en 1931.
Sumario
Ejemplificación de la ley
Al analizar cómo se distribuye una sustancia sólida o líquida entre dos líquidos no miscibles o parcialmente miscibles se observa que esa distribución no se verifica al azar, sino de acuerdo con una cierta regularidad; analicemos algunos resultados experimentales a 250C para descubrir estas regularidades:
Si se agita en un embudo de separación cierta masa de bromuro de mercurio (II) (HgBr2) en una mezcla de C6H6 (benceno) y agua (H2O), y se hace lo mismo con una cierta masa de diyodo (I2) en una mezcla de tetracloruro de carbono (CCl4 y H2O), así como dibromo (Br2) en una mezcla de tribromometano, (CHBr3 y H2O), obtenemos los resultados que se muestran en la Figura No. 1:
Como fácilmente se observa, los cocientes de las concentraciones del HgBr2 en agua y tetracloruro de carbono, y del Br2 en agua y tribromometano, son constantes dentro del error experimental, lo que lleva a enunciar esa regularidad conocida con el nombre de ley de la distribución o el reparto de la siguiente forma:
Si se añade un soluto a un sistema formado por dos líquidos no miscibles en contacto, se agita el conjunto para propiciar la mezcla de las tres sustancias y luego se deja en proceso para que vuelvan a separarse las dos capas líquidas (hasta alcanzar el equilibrio de distribución), se encuentra que el soluto, para una temperatura dada, se distribuye entre los dos disolventes no miscibles, de manera tal que la relación entre sus concentraciones en uno y otro disolvente, es una cantidad constante, independientemente de la masa de soluto añadida y denominada constante o coeficiente del reparto.
Lo anterior debe expresarse, para cada sistema en el cuadro anterior, como sigue:
- La constante del reparto del HgBr2 a 250 C entre el agua y el benceno es 0,90.
- La constante del reparto del I2 a 250 C entre el CCI4 y el H2O es 85,2.
- La constante del reparto del Br2 a 250 C entre tribromometano y agua es 66,7
Es evidente que no se requiere explicación adicional y que las constantes son adimensionales; las concentraciones generalmente que se expresan en concentraciones másicas.
Limitaciones de la ley de reparto
- La ley es estrictamente válida para disoluciones diluidas.
- Si uno de los disolventes está saturado es soluto, no podrá indudablemente disolver mayor masa de dicho soluto, de modo que si el otro disolvente no está saturado, la relación entre las concentraciones no será constante.
- Si el soluto está asociado o disociado en un disolvente y no está en el otro, o sea, que no posee la masa-fórmula correspondiente a una estructura simple en ambos disolventes, la relación entre las concentraciones no será constante.
Distribución del ácido benzoico en agua y benceno
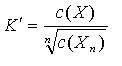
Como se ve en la Fig 2, no se cumple la ley del reparto; pero se procede a calcular [C1/C2] ½ y situarlo en la tabla anterior: Se imaginado un soluto X que se encuentra en forma de moléculas sencillas, en el disolvente A, pero que constituye moléculas asociadas Xn en el disolvente B, obviamente existirá el equilibrio Xn nX y en las circunstancias anteriores puede probarse que:
En el caso del ácido benzoico tabulado anteriormente, se puede afirmar que se encuentra dimerizado en la disolución bencénica, no así en la disolución acuosa, por lo que se tiene que considerar su fórmula en el benceno igual a (C6H5COOH)2 y en el agua C6H5COOH.
Aplicaciones prácticas de la ley del reparto
En los procesos de extracción de sustancias, cuando se va a extraer un principio activo de una planta, el uso del volumen del disolvente debe dividirse en varias porciones y repetir el proceso varias veces, esto hará que se extraiga más principio activo de la planta.
En el proceso de enjuagado de ropa si se tiene, digamos 10 l de agua, es mejor dividir el líquido en 5 partes, y enjuagar la ropa 5 veces, que digamos de una sola vez emplear los 10 litros.
Fuentes
- León Avendaño Rafael. Química General Superior. Editorial Pueblo y Educación, La Habana, 1991
- Universidad del Valle de México, Coyoacán.


