Ley de reciprocidad cuadrática
| ||||||
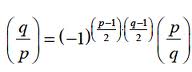
Ley de reciprocidad cuadrática. (L. R.C), en matemática, dentro de la teoría de números esta Ley designa al "teorema áureo" que relaciona la solubilidad de dos congruencias de segundo grado relacionadas.
Sumario
Historia
Haciendo un recorrido por la historia de la matematica y teniendo a la ley de reciprocidad cuadratica como eje central, el primero que ofrece de manera implícita una parte de la primera ley complementaria de la L:R:C: es Diofanto de Alejandría, en su obra Aritmética. Luego, Fermat motivado por este libro encuentra parte esencial de la primera ley complementaria de la L:R:C: como lo expresa en una carta a su amigo Mersenne en 1640. Fue Kronecker, quien en 1875 sugirió el hecho de que la L:R:C: había sido ya expuesta por Euler en 1783, quien se inició en el estudio de esta ley gracias al trabajo antes realizado por Fermat. Euler encuentra entre 1741 y 1742 la primera o forma implícita de la L:R:C: y posteriormente en 1772 consigue la segunda o forma explícita de la L:R:C:, publicada después de su muerte en Opuscula Analitica de 1783.
Cabe notar ahora que ninguno de estos matemáticos demostró la L:R:C: Tan solo posteriormente Legendre ofreció una prueba parcial de dicho teorema. Fue en 1796 cuando Carl Friederich Gauss realizó la primera demostración completa de la L:R:C:, publicándola posteriormente en su magna obra Disquisitiones Arithmeticae. A lo largo de su vida Gauss realizó 8 demostraciones de esta ley que el denominó Theorema aureum. Es importante resaltar que las demostraciones de Gauss sirvieron de impulso para que otros grandes matemáticos se dieran a la tarea de desarrollar teorías tan importantes como la teoría algebraica de números y que otros encaminaran sus esfuerzos en trabajos paralelos a este.
Demostración de la Ley de Reciprocidad Cuadrática
Por inducción se puede comprobar que la L:R:C: es válida para números pequeños, de tal manera se determina un límite hasta el cual sea válida. Ahora, si la L:R:C: no es verdadera en general, existirá algún límite J hasta el cual sería válida, de manera que ya no lo sea más para el próximo número mayor que J + 1. Esto es lo mismo que suponer que existen dos números primos, de los cuales el mayor es J + 1 y que comparados entre sí contradicen la L:R:C:, y además que otros pares cualesquiera de números primos, siendo ambos menores que J + 1, cumplen esta ley. Se mostraría que esta suposición es contradictoria, con lo cual se demuestra la Ley de Reciprocidad Cuadrática.
Se presentan los 8 casos en un orden estricto, ya que algunos de ellos son dependientes de otros.
- Primer caso. Cuando J + 1 es de la forma 4n + 1 (llamemos a uno de estos números a), y p es de la misma forma, si §pRa, entonces no puede ser que §aNp.
- Segundo caso. Cuando J + 1 es de la forma 4n + 1 (llamemos a uno de estos números a), p de la forma 4n+3, y §pR(J +1), no puede ser ni +(J + 1)Np ni ¡(J+1)Rp.
- Tercer Caso. Cuando J +1 es de la forma 4n+1 (llamemos a uno de estos números a), p de la misma forma y §pNa, entonces no puede ser que §aRp.
- Cuarto caso. Cuando J +1 es de la forma 4n+1 (llamemos a uno de estos números a), p de la forma 4n + 3, y §pNa, no podrán ser ni +aRp ni ¡aNp.
- Quinto caso. Cuando J +1 es de la forma 4n+3 (llamemos a uno de estos números b), p de la misma forma, y +pRb o ¡pNb, no será ni +bRp ni ¡bNp.
- Sexto caso. Cuando J + 1 es de la forma 4n + 3 (llamemos a uno de estos números b), p de la forma 4n+1, y pRb, no puede ser §bNp.
- Séptimo caso. Cuando J + 1 es de la forma 4n + 3 (llamemos a uno de estos números b), p de la misma forma, y +pNb o ¡pRb, no pueden ser +bNp, ni ¡bRp.
- Octavo caso. Cuando J +1 es de la forma 4n+3 (llamemos a uno de estos números b), p de la forma 4n + 1, y +pNb o ¡pRb, no puede ser §bRp.
Otras leyes de reciprocidad
Existen otras leyes de reciprocidad: cúbica, bicuadrática y otras de grados superiores o de naturaleza algo diferente, aunque normalmente se encuentran fuera del ámbito de la aritmética de números enteros, y es necesario acudir a cuerpos de números algebraicos.


