Ondas sonoras
| ||||||
Ondas sonoras. Son el sonido de una onda longitudinal cuyo medio de desplazamiento es normalmente el aire, pero puede desplazarse por cualquier medio excepto el vacío. El desplazamiento del aire es lo que crea cambios de presión, que el oído capta como sonido.
Sumario
Estructura
Estas variaciones suelen tener siempre la misma estructura: Un aumento de presión seguido de una disminución en la presión.
Ese desplazamiento sigue la ecuación para una onda pura.
A lo largo de la página se explica cada término de la ecuación. De momento diremos que "x" es un lugar del espacio y "t" el tiempo. Queda por saber qué son omega, "A" y "fi".
Frecuencias
A cada pareja presión-depresión se le llama ciclo.
La frecuencia se mide en Hercios (Hz). Los Hercios son ciclos/segundo. Los ciclos no tienen unidades de medida, a diferencia del tiempo, que se mide en segundos.
Esta unidad, el Hercio, no es propia sólo del sonido. En realidad, un ciclo es algo que se repite periódicamente, y los Hercios miden los ciclos por segundo (frecuencia). Pueden medir eventos cinéticos, como el número de vueltas que da un disco en el giradiscos, electrónicos, como las veces que oscila un cristal de cuarzo en un reloj o en un ordenador, o eventos estúpidos como el número de gotas que caen de una cafetera en un segundo.
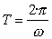
La frecuencia es el número de ciclos por segundo
Omega es un múltiplo de la frecuencia
Ejemplo: Frecuencia de un disco de 45 RPM:
Una revolución por minuto significa que un ciclo tarda 60 segundos en producirse. 45 ciclos en un minuto son 45 ciclos en 60 segundos. A la derecha se ve mejor.
No todos los sonidos son iguales, porque no todas las frecuencias son iguales. La frecuencia influye en el tono. Mucha variación produce un sonido agudo, y poca, un sonido grave.
El sonido humano no es perfecto, y es imposible oír todas las frecuencias. Hay una zona en la que se puede oír el sonido, y otras en las que no. En el hombre, esta zona va desde 20 Hz hasta 20000 Hz. Tampoco la sensibilidad auditiva es igual a todas las frecuencias. Entre 3 y 5 kHz se produce la mayor sensibilidad del ser humano.
Frecuencia: Cuanto mayor sea, más agudo es el sonido
Y ahora la pregunta es: qué pasa cuando se "juntan" dos ondas de diferente frecuencia?
Esto. En la parte superior una onda de 1000Hz y otra de 5000Hz. La suma es lo de la parte inferior.
Amplitud
Hasta ahora sabemos algo, pero la frecuencia no explica por qué algunos sonidos se oyen más fuertes que otros.
Las variaciones de presión pueden tener de cualquier frecuencia, y además pueden tener cualquier valor de presión máxima y mínima. Las variaciones entre los valores máximo y mínimo de presión producen que un sonido se oiga más o menos fuerte.
La amplitud es un coeficiente que marca el volumen sonoro de la onda
A esto se le conoce como amplitud de la onda.
Una mayor amplitud variación de presión da un mayor "volumen". En la gráfica se muestra cómo son las ondas de una misma frecuencia y diferente amplitud
La amplificación consiste en aumentar ese coeficiente, ya sea presión sonora, una señal eléctrica en voltaje intensidad o potencia.
Timbre
No todos los sonidos suenan igual. Por ejemplo el la de una guitarra no suena igual que el de un piano, a pesar de tener la misma frecuencia. Esto es debido al timbre.
Y lo que distingue al timbre es que la onda más importante está acompañada por otras de distintas frecuencias, normalmente múltiplos que se llaman armónicos.
La estructura de armónicos es lo que distingue los instrumentos entre sí. En realidad no hay ningún instrumento que produzca ondas puras, todos tienen armónicos.
A las imágenes se ven las ondas puras que forman un sonido. Unas son más grandes que otras porque si no enmascararían la al principal.
Ondas puras
La onda de más baja frecuencia se le llama armónico fundamental.
Esto ocurre en todos los instrumentos. Lo normal es que decaigan a medida que aumenta la frecuencia. En el análisis de frecuencias de la parte inferior se puede ver cuáles son las frecuencias a suma: 1000, 2000, 5000 y 12000, todas múltiplos enteros de 1000. También se ve que cuales son sus amplitudes.
Análisis de frecuencia En esta imagen vemos la suma de todas las ondas. No se parece mucho a la onda regular de 1000Hz. Pero para el oído esto es más normal y agradable de oír. Las ondas puras son sumamente molestas de oír.
Suma de las ondas Ahora, en el análisis de frecuencias de la suma vemos que están contenidas todas las frecuencias que íbamos a sumar entre si, pero ahora, en vez de estar por separado, están contenidas todas en la misma onda, con los mismos valores tanto de frecuencia como de amplitud.
Análisis de la suma Existe un objeto llamado diapasón que sí produce ondas puras. Se usa para afinar los instrumentos, ya que al golpearlo suena a una frecuencia de 440Hz, la nota "la".
Velocidad, Longitud de onda y Periodo
Para una frecuencia fija, el tiempo que tarda en producirse un ciclo es fijo, y se denomina periodo.
Como es una unidad de tiempo, se mide en segundos.
Esta magnitud tampoco es exclusiva del sonido, también se aplica a péndulos, tiempos en circuitos digitales,...
El sonido se propaga a una velocidad constante si el medio por el que se propaga es homogéneo. Como sólo nos ocupamos del aire, entendemos que lo es.
Su velocidad es de aproximadamente 340m/s, pero puede variar por la presión, temperatura, humedad... Las variaciones dentro de una sala están en torno a un +-5%.
Cualquier objeto que lleve una velocidad constante recorre un cierto espacio en un cierto tiempo y las ondas sonoras también.
En concreto, el espacio que recorre el sonido en un ciclo presión-depresión es muy importante. Se llama longitud de onda.
Depende de la frecuencia y de la velocidad, pero por simplificar, supondremos que su velocidad es constante. y entonces la longitud de onda sólo depende de la frecuencia.
Se nombra con la letra griega Lambda y se mide en metros.
Fase
Y ahora, vamos a decubrir qué es el último término de la ecuación que aún desconocemos.
La fase se denota con la letra griega fi y representa el tiempo en el que empieza a producirse la oscilación.
Matemáticamente, fi es un ángulo y se mide en radianes o en grados. Es de todas formas, adimensional, su medida tiene nombre pero no unidades.
Ahora veremos cómo se manifiesta fi.
La onda con desfase pi (180º) en granate, está al revés, invertida. Esto es una inversión de fase. Si se suma a la onda inicial se pruduce una resta perfecta y el resultado es cero. La onda con desfase pi/2 (90º) tiene su máximo justo en el instante inicial de las demás. La onda con pi/4 (45º) está un poco adelantada.
La onda con desfase 2pi (360º) está exactamtente en la misma posición que la onda inicial.
La fase marca un retraso o adelanto temporal. Todo esto se puede deducir directamtente de las propiedades de la función seno, pero resulta más ameno verlo en una gráfica.
En el caso de que el desfase sea negativo, es equivalente a coger ese desfase y sumarle 2pi, como se ve a la derecha. Se han separado ligeramente las dos gráficas porque eran completametne coincidentes.
Como la señal es cíclica...
Errorres de Fase
Hemos oído hablar de los errores de fase en los filtros, y la distorsión que producen, pero conviene aclarar qué son:
Cuando dos ondas de la misma fecuencia en diferente fase se suman, se producen efectos extraños. Se pueden producir cancelaciones o refuerzos.
A la derecha vemos varios ejemplos.
La onda inicial es la granate. Tiene fase 0. Cuando se suma esa onda con otra de fase 180º, se cancelan completamtente. Es lo que pasa en la color verde claro. Cuando se suman ona onda con otra desfasada 90º, el valor es el mismo si los 90º son positivos o negativos, pero la fase resultante no. Esto es lo que pasa con la onda verde oscuto y la azul claro. Cuando se suman dos señales en fase (mismo desfase), equivale a doblar la amplitud de esa onda, como pasa con la onda azul oscuro.
Al sumar dos ondas con igual frecuencia y diferente fase ocurren cosas muy diversas.
Errores de fase producidos por los filtros de altavoces.
Un error de fase es una diferencia entre las fases de dos altavoces.
Los filtros de los altavoces producen desplazamientos de fase de hasta 90º por componente. A medida que va aumentando el desplazamiento de fase, va decreciendo la potencia suministrada al altavoz. Si los componentes (condensadores y bobinas) produjesen el mismo desfase no habría ningún problema, pero unos producen desfases positivos y otros negativos. Esto puede llegar a producir desfases de 180º, que suponen la cancelación de la onda como hemos visto en la explicación de la fase.
En algunos de los filtros de orden par,a la frecuencia de corte, la fase de cada altavoz está desplazada +90º y -90º respectivamente. La diferencia de fases es de 180º. Este problema coincide con que las potencias sonoras entregadas por cada altavoz son iguales. y se produce una cancelación completa. Se puede apreciar a la derecha.
La fase depende del lugar de escucha. Si el oyente se encuentra más cerca del tweeter que del woofer, la fase con la que emite cada uno cambia. Cuando se produce un error de fase, se producen efectos muy variados pero ninguno bueno en el sonido, por la cancelación de unas frecuencias, y además, dependiendo de la zona donde esté el oyente la respuesta puede tener muy poco que ver con algo plano.
Errores de fase y cancelación en un filtro de 2º orden. Si no hubiese errores de fase, cuando se ponen dos altavoces, en el plano perpendicular a la recta que une sus centros, como a la fecuencia de corte ambos emiten la mitad de potencia sonora, la suma da lugar a la respuesta plana.
Propagacióndel Sonido en el Aire y Ondas Eféricas
Como hemos dicho antes, el sonido se propaga a una velocidad constante, pero esto no es comlpetamente cierto. La velocidad del sonido depende de la presión atmosférica, de la temperatura, de la cantidad de gases no diatómicos (CO2, H2O, etc...) y de la cantidad de partículas en suspensión, polvo, humedad,...
Normalmente las variaciones de temperatura dentro de una casa, las variaciones de presión y composición del aire no son muy grandes, un 5%, y la velocidad del aire se toma como constante, y es 340m/s.
_______________________________________________________________________
Para enterder lo siguiente, veremos un ejemplo simple de propagación de ondas:
Cuando se tira una piedra en un estanque, se crea una perturbación que rompe el equilibrio de la superficie. Esta perturbación hace que "sobre" agua alrededor de la piedra, ya que ha ocupado un volumen que antes estaba ocupado con agua. Como la superficies es plana y el agua va al punto más bajo de todos, el agua se distribuye perfectamente alrededor de la piedra, ya que todos los puntos de alrededor están más bajos.
La onda se emite en todas las direcciones en forma de ondas concéntricas. A medida que las ondas se alejan del centro van perdiendo amplitud, pero su diámetro es más grande. Esto quiere decir que en una situación ideal no se perdería energía, pero el agua produce pérdidas y la energía cinética se convierte en calor.
En el caso de la piedra, la perturbación no sólo se produce una vez, porque la piedra se hunde y entonces el agua vuelve al sitio que instantáneamente ha ocupado la piedra, por eso se producen muchas ondas. Si se prueba introducir un objeto hidrodinámico (un lápiz) en el agua, y se deja quieto dentro, se ve que se crean muchas menos. Esta perturbación es más regular.
Cuando un objeto causa una perturbación en el aire de un espacio más o menos grande, como la comparación piedra-estanque, esa perturbación en la presión hace que el aire se desplace hacia los puntos donde la presión es menor. En el caso de una bomba, donde se liberan gases calientes a alta presión, la onda expansiva es la compensación de la presión entre un punto donde hay una gran presión y la presión atmosférica normal.
La onda expansiva no se puede ver, aunque sí se puedan ver sus consecuencias (el polvo y los demás materiales). La onda crea un frente de alta presión que se desplaza como una esfera que va creciendo.
Todos los materiales vibran con unas determinadas frecuencias que dependen de su rigidez y forma. Cuando un objeto cae al suelo adquiere una energía en el choque. Esta energía se acabará transformando en calor, pero no tiene porqué trasnformarse instantáneamente. Además de rebotar, puede permanecer contenida en el objeto en forma de vibración. En algunos materiales esta transformación es más rápida, como en un cojín. Casi no vibra al chocar. Toda la energía cinética es absorbida rápidamente por sus fibras interiores y transformada en calor o en energía potencial elástica.
Un tenedor no. Cae y vibra enérgicamente, rebota y hasta que no está estable en el suelo y le transfiere su vibración no cesa de vibrar.
La forma de percibir la vibración es el ruido que producen al caer. Esta vibración produce una petrurbación periódica en la presión, y se capta como un sonido. El porqué de que el cojín tarde poco en dejar de vibrar, y además vibre poco y el tenedor mucho y durante mucho tiempo viene en otra sección.
Las vibraciones transmitidas a la atmósfera por el tenedor se pueden escuchar desde cualquier punto de la habitación. Esto es porque la emisión se produce en todas las direcciones.
Si en vez de un tenedor fuese un punto que vibrase, entonces habría infinitas superficies esféricas con la misma presión en todos los puntos de la misma superficie.
Esto es lo que se conoce como onda esférica y es la forma habitual en la que se propaga el sonido.
En el principio de este artículo hemos visto la siguiente ecuación.
No es incorrecta, pero es un caso particular y no relacionado con el aire, es el de la posición de una cuerda vibrante.
En la realidad, las ecuaciones son mucho más complejas, pero se trata de que pueda entenderse fácilmente el comportamiento del sonido.
En el caso eléctrico, para ondas puras eléctricas, tendríamos que la única diferencia es X en vez de V, siendo V el voltaje.
Dada la analogía entre estas dos ecuaciones y su sencillez, se ha estimado conveniente usar la primera en vez de las ecuaciones reales que se van a emplear a continuación.
_________________________________________________________________
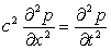
Efectivamente, las ecuaciones que se ocupan del aire son más complejas. Se trabaja con una función p, presión, que es función del tiempo y la posición (x) o distancia(r)..
Ahora p es función del tiempo y del espacio.
Las ecuaciones son ecuaciones en derivadas parciales.
En el caso de la onda plana tenemos a la ecuación general para vibraciones armónicas, donde se trasnforma la derivada parcial segunda con respecto al tiempo en algo que no hace falta derivar.
c es la velocidad del sonido
EDP de las ondas esféricas Su solución depende de condiciones iniciales, y se muestra . k es una constante que depende de esas condiciones.
La primera consecuencia de esto es que la presión sonora p es inversamente proporcional a la distancia del foco emisor. Esto tiene consecuenias muy importantes.
Solución de la ecuación Esto quiere decir que la presión sonora que produce un altavoz se dispersa, que cuanto más lejos esté el altavoz, más se dispersará.
Ondas Planas
Bajo unas ciertas condiciones, el sonido no se propaga en forma de esferas, sino como una onda plana.
Una onda plana es como una superficie plana que se mueve a una cierta velocidad, en línea recta y esa superficie repersenta los puntos que tienen la misma presión.
La ecuación de la derecha será conocida por cualquiera que halla tenido algún contancto con el tema de la acústica, o con las ecuaciones diferenciales, ya que es uno de los ejemplos por excelencia de los problemas de contorno.
ecuación de ondas unidimensional
Es la ecuación de ondas unidimensional.
Para el caso de una onda plana, su solución también depedne de un parámetro k que deende de las codiciones iniciales.
Esta solución muestra una diferencia interesante con respecto a la onda esférica. No se dispersa con la distancia
Solución de la ecuación En tubos, cuando la longitud de onda es mayor que el diámetro del tubo, el sonido se propaga como una onda plana. Este principio es sumamente importante en líneas de transmisión y laberintos acústicos. Da la posibilidad de construir cajas no resonantes para graves.
También tiene otro resultado MUY importante. Dentro de la caja de un subwoofer, las longitudes de onda son tan grandes que las ondas se comportan como ondas planas para el rango de los subgraves. La consecuencia es que las ondas planas al no dispersarse tampoco crean ondas estacionarias y la caja no puede resonar por motivos únicamente acústicos, y no hace falta material absorbente.


















