Slugging
| ||||||
Slugging (SLG): Estadística del Béisbol que calcula el porcentaje de las bases recorridas entre las veces al bate y da la medida de la potencia de un bateador.
El Slugging (SLG) es junto al promedio de bateo, una de las estadísticas de más usadas en el béisbol. El promedio de bateo, calcula cuántas veces batea hit el bateador por turno, valorando de igual forma un sencillo y un cuadrangular. Por su parte el Slogging se creó con el fin de relacionar los turnos al bate con las bases alcanzadas, asignándole el valor por cada base recorrida.
Sumario
Surgimiento
Nació en los albores del siglo veinte, cuando los estudiosos del béisbol se dieron cuenta de cuán útil resultaba a la hora de medir el rendimiento de un bateador. Y ha cobrado fuerza con el decursar de los años hasta convertirse en una de las estadísticas más reveladoras. [1]
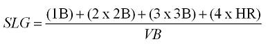
Ecuación del Slugging (SLG)
El Slugging se calcula utilizando las siguientes formulas:
Donde:
- 1B: Sencillo
- 2B: Doblete
- 3B: Triple
- HR: Jonrones
- TB: Total de bases recorridas
- VB: Veces al bate
Características del Slugging (SLG)
El Slugging (SLG) al calcularse sumando uno por un sencillo, dos por cada doblete, tres cuando llega a tercera producto de un triple y cuatro al conectar un cuadrangular y dividiendo la suma total entre la cantidad de veces al bate nos indica la potencia de un bateador al darle más valor a los batazos de mayor alcance o con los que recorra el mayor número de bases.
Los bateadores de mayor SLG generalmente son los jonroneros, un SLG por encima de .600 es considerado excelente.
Enlaces internos
Véase también
Referencias
- ↑ Slugging: una estadística reveladora. Disponible en: http://www.granma.cu/granmad/eventos/49serie/n015.html. Consultado el 31 de marzo de 2014.

