Valor medio
| ||||||
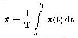
Se distingue entre valor medio aritmético (lineal:) parámetro de una magnitud alterna que permite la comparación con una magnitud igual (transporte de la misma cantidad de carga) y valor medio cuadrado (valor efectivo).
Sumario
Fórmula para definir el parámetro de una magnitud alterna
Fórmula para definir el valor efectivo
Xeff describe una corriente continua que desarrolla en un período el mismo calor en una resistencia como la magnitud alterna observada.
Véase también
Amplitud de la corriente alterna
Fuente
- Diccionario Técnico Electrotecnia. Editorial Científico-técnica, La Habana 1990



