Hipopede de Eudoxo
| ||||
Hipopede de Eudoxo. Es una curva tridimensional sobre una esfera. Su proyección sobre un plano es la lemniscata. La Hipopede la generan los satélites con órbita geosíncrona con el plano orbital inclinado respecto al ecuador.
Sumario
Historia
El nombre de Hipopede se debe al matemático griego Eudoxo de Cnido (en torno a 400-347 a.n.e.), inició la vía de la astronomía matemática griega clásica, con un modelo geométrico de esferas homocéntricas que trataba de dar cuenta y razón de ciertos fenómenos, como las trayectorias erráticas de los planetas, dentro del marco de una directriz o principio: los movimientos de los cuerpos celestes han de ser circulares y regulares, y a partir de un supuesto geocéntrico: la tierra ocupa el centro del universo; un desiderátum añadido era la simplicidad de la construcción. El modelo no constituía un sistema porque consideraba un juego de esferas en rotación para cada caso: tres para el sol y la luna, cuatro para cada uno de los planetas conocido.
El desafío de los planetas era acuciante: presentaban no sólo cambios de velocidad, puntos estacionarios y desviaciones de la eclíptica, sino retrogradaciones, cuya explicación llevaría a Eudoxo a introducir su famosa hipopede o lemniscata esférica. La hipopede resulta de la combinación del movimiento de las dos esferas más internas de su modelo. Sobre esta figura rotaría cada cuerpo celeste en correspondencia con su período sinódico. Por su parte, el tiempo de rotación sobre la esfera en que se encuentra corresponde a su periodo sideral.
Definición
Supongamos una esfera con centro O que gira alrededor de un eje ON. Sea un punto M en esa esfera que gira y sea P un punto de intersección de los círculos máximos perpendiculares a ON y OM . Si mientras gira la esfera un punto H parte de P y se mueve por el círculo máximo perpendicular a OM a la misma velocidad angular que la esfera y en sentido contrario, ese punto H describe una curva con forma de 8 en el espacio. Eudoxo llamó hipopede a esa curva.
Si R es el punto del espacio en que coinciden en su movimiento P y H, el ángulo POR es siempre igual al ángulo POH.
La hipopede es la intersección de la esfera con un cilindro tangente interiormente a la esfera en el punto R y que también es la intersección de la esfera con un cono cuyo eje es tangente a la esfera por R y paralelo a ON.
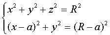
Ecuaciones
Ecuación cartesiana: , R es el radio de la esfera y la distancia desde el centro O de la esfera al eje del cilindro, con 0 <a <R.


