Geometría analítica galileana
| ||||||
Geometría analítica galileana. Rama de la Geometría Analítica que describe el conjunto de conocimientos congruentes con el principio de Galileo y que es el punto de partida para la descripción de los fenómenos naturales.
Sumario
Fundamentación
Uno de los propósitos básicos de las matemáticas es suministrar un lenguaje simbólico y elegante mediante el cual se puedan describir los hechos del mundo físico. Esto quiere decir que por medio de ese lenguaje se puede expresar el problema físico dado en forma de relaciones cuantitativas.
Por ejemplo las expresiones trigonométricas es el lenguaje que permite describir los hechos periódicos, y de ahí el uso para exponer y resolver estos hechos; el análisis vectorial es el formulismo o lenguaje adecuado para exponer y resolver la teoría del campo electromagnético, ya que este expresa las características esenciales de ese estado. Esto no puede hacerse en muchos casos si no se tiene en cuenta que la Geometría es el vínculo que une el mundo físico con el lenguaje analítico-algebraico.
Además para cada hecho no se puede construir un lenguaje. El poder de un simbolismo radica en que mediante él se puedan describir multitud de hechos físicos, aquellos que abarcan, con una sola cadena de ecuaciones hechos del mundo físico exteriormente no semejantes, pero que en esencia transcurren geométricamente del mismo modo, y pueden ser considerados desde el mismo punto de vista.
Principio de Galileo Galilei
Las leyes de la naturaleza son descritas por ecuaciones de la misma forma tanto por los observadores cuyos móviles están en reposo, como por aquellos cuyos móviles están animados de movimiento uniforme.
Es necesario disponer de un esquema geométrico que permita representar este hecho, y que permita construir una ecuación que describa el movimiento o movimientos que cumplen estas condiciones: que sea el mismo tanto para un observador cuyo móvil está en reposo, como para aquel cuyo móvil está en movimiento.
Parábola
Por definición la parábola es el conjunto de los puntos de un plano que se mueven por este plano de manera tal que sus distancias a un punto F fijo de este llamado foco son las mismas que las que tienen los puntos de esta a una recta contenida en este plano y es llamada directriz. Ver la figura 1.
La parábola pertenece a una familia de curvas llamadas cónicas, formada por ella, la elipse y hipérbola. Estas otras curvas no se definen de la misma manera que la parábola.
Análisis
Como un mismo ente se puede definir desde dos puntos de vista diferentes (como ocurre con el concepto de límite que puede ser definido según el criterio de Heine que lo hace por medio de sucesiones, y además según el criterio de Cauchy que utiliza la idea de infinitesimales) se puede hacer un análisis para intentar definir la hipérbola y la elipse desde el mismo punto de vista que se hizo con la parábola.
En principio se puede definir movimiento de un punto que se tiene lugar de la misma manera respecto a otros dos puntos. En Geometría Analítica se muestra que la recta puede considerarse como el punto que se mueve de la misma manera respecto a dos puntos fijos, o sea al moverse mantiene la misma distancia respecto a ambos. Ejemplo de la ecuación para representar esta situación usando la definición de distancia mediante el Teorema de Pitágoras.
Esta ecuación es la representación analítica o algebraica del enunciado en lenguaje común de que en un sistema de coordenadas cartesianas un punto de coordenadas (x; y) se mueve por el plano respecto a dos puntos fijos de ese plano de coordenadas (0; 0) y (h; k), de manera tal que las distancias del punto (x; y) a estos son iguales. Si en esta ecuación se desarrollan los cuadrados y se simplifica, la ecuación obtenida puede escribirse de la forma:
la cual es sin lugar a dudas la ecuación de una recta, pues está escrita de la forma
que es la ecuación segmentaria de la recta.
Los movimientos que se describen usando el Teorema de Pitágoras se llamarán euclidianos.pero los movimientos de los que se están hablando deben transcurrir por cónicas, o sea que en general su ecuación debe ser de la forma:
la cual comparada con la 2.1 es notorio que solo se diferencian en el grado que tienen las variables y los parámetros. Y como la forma 2.1 se obtuvo de 1.1 que es de grado dos , las ecuaciones de la forma:
deben poderse obtener de una similar, pero de grado tres, o sea por medio de una ecuación de la forma:
Y debe ser la que describe el lugar geométrico de un punto que se mueve describiendo una cónica siguiendo el Principio de Galileo, o sea el punto de coordenadas (x; y) se mueve de la misma forma respecto a los puntos (0; 0) y (h; k), pudiéndose considerar uno de estos fijo y el otro en movimiento uniforme.
Si se desarrolla, se tendrá:
y simplificando , y completando cuadrados perfectos se obtiene:
que es lo mismo que:
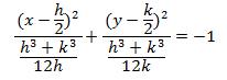
Que tiene como expresión final:
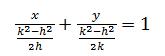
La cual es la ecuación de una elipse imaginaria. Aquí se puede hacer:
Si se divide la primera ecuación entre la segunda, se obtiene la igualdad:
de la que se deduce por el producto k*1/h que k y 1/h son las pendientes de los diámetros conjugados de una hipérbola según el teorema del geómetra Apolonio de Pérgamo. Esta relación, elipse imaginaria e hipérbola es la que existe entre las geometrías de Euclides y de Minkowsky.
Ahora queda por buscar un esquema geométrico que muestre que la elipse puede ser descrita delmismo modo que la parábola. Esto se hará usando una simplificación del método usado comúnmentepara demostrar que la elipse, la hipérbola y la parábola son secciones cónicas, el cual está basado en el uso de esferas tangentes a un cono, como se muestra en la siguiente figura.
Argumentación
El plano α corta al cono y su interseccion o sean los puntos comunes forman una elipse. Como el plano α es tangente a la esfera en el punto F, el haz de rectas del plano que pasa por estepunto es tangente a la esfera. Como el cono es tangente a la esfera , las generatrices de esteson tangentes a ella , y por el conocido teorema referido a las tangentea de una circunferencia están en un mismo plano y se cortan, tienen la misma longitud, se cortan, por lo que los segmentos son iguales en longitud.
El observador situado en el punto F ve el mismo conjunto de puntos que aquel que se mueve unformemente por la circunferencia interseccion entre la esfera yel cono. Variando la inclinación del plano se obtienen las gráficas de la parábola y la hipérbola.
Conclusión
De la ecuación:
que puede ser escrita de la forma:
Se deduce que la ecuación:
describe el movimiento uniforme en el espacio de un punto de coordenadas (x; y) respecto al punto de coordenadas (h;k) independientemente del estado de reposo, o de movimiento uniforme de el móvil del observador situado en el.
Fuentes
- Documento creado por: Teodoro Aurelio Rodriguez Tamayo (pdf): Principio Único de las Teorías Físicas. Disponible en: "www.monografias.com". Consultado: 30 de mayo de 2012.
- Artículo: Física Teórica. 21 de octubre de 2010 (editado). Disponible en: "www.ecured.cu". Consultado: 30 de mayo de 2012.
- Charles H. Lehmann. Geometría Analítica de Charles Lehmann. Editorial Limusa, 1989 ISBN: 968-18-1176-3.

