Determinante
| ||||||
Determinante. En una matriz cuadrada de orden N, se trata de una medida por la que se pueden caracterizar y calcular varias propiedades de la misma como solubilidad, singularidad, inversibilidad, valores y vectores propios, polinomio característico...
No pocos cálculos de usos diversos, más allá del álgebra y el análisis matemático, hacen uso de los determinantes para su solución o modelación de situaciones de la vida cotidiana o productiva. En el entorno de las TICs, en el desarrollo de las librerías gráficas para 3D implementaciones o resultados del cálculo de determinantes son cruciales.
Sumario
Definición
Sea A una matriz cuadrada de orden N:
se llama determinante de A y se simboliza |A| a:
donde Mi,j es el menor del elemento ai,j que se obtiene de calcular el determinante de la submatriz de A tras eliminar la i-ésima fila y la j-ésima columna:
Determinantes de matrices de orden 2 y 3
En el caso de las matrices cuadradas de orden 2 y 3 el mecanismo es más simple que en las de orden superior (desde 4 en lo adelante), donde como ya se expresó en la definición se suele recurrir al método del cálculo de menores.
Para el caso de A si tiene orden 2:
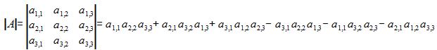
Para A de orden 3 es un poco más elaborado:
Se repiten las filas 1 y 2 debajo de la última y luego los productos se establecen como sigue:

- Las ternas de elementos de cada línea azul son positivas: a1,1a2,2a3,3, a2,1a3,2a1,3 y a3,1a1,2a2,3.
- Las ternas de elementos de cada línea roja son negativas: -a3,1a2,2a1,3, -a1,1a3,2a2,3 y -a2,1a1,2a3,3.
Después se suman los elementos para obtener el determinante:
Propiedades
Sea una matriz cuadrada A de orden N se cumple entonces que:
- Si |A|≠0 es singular por tanto:
- Es soluble.
- Existe su matriz inversa
- Si una fila (columna) completa es nula, |A|=0.
- Si un par de filas (columnas) son proporcionales entonces |A|=0.
- Si una fila (columna) es una combinación lineal de al menos otras dos filas (columnas) se cumple que |A|=0.
- |AT|=|A|
- Si B es una matriz cuadrada que resulta de intercambiar de A dos de sus filas (columnas) entonces |B|=-|A|.
- Si B es una matriz que resulta de multiplicar todos los elementos de una fila (columna) de A por un escalar k; |B|=k|A|.
- |A|=|A1j|+|A2j|, donde A1j, A2j son dos matrices que difieren de A sólo en la columna j-ésima, aunque la suma de las comlumnas j de A1j y A2j es igual a la columna es cuestión de A.
- Si A es triangular |A|=Πi=1..N(ai,i) ó el producto de los elementos en la diagonal principal.
Ejemplos

= 18+60+2-9-16-15 = 80-40 = 40
=
= -5(4-6) = 10 (Se eligió la 2da fila porque al tener 2 elementos nulos había que calcular menos. Los elementos en dicha fila se signan según la regla del complemento algebraico (1)i+j como - + - +.)
= 3. Es una matriz triangular, el determinante es el producto de los elementos de la diagonal principal.
Importancia
Los determinantes se emplean en disimiles modelaciones y cálculos del álgebra y el análisis y además trascienden a áreas como la graficación 3D, tratamiento de imágenes, problemas de optimización, economía, física, etc.
Los determinantes se usan para saber si un sistema de ecuaciones lineales tiene solución y además con el regla de Cramer se obtienen las mismas. Similarmente pasa en la obtención de matrices adjuntas que resultan de la transpuesta de la matriz cuyos elementos son los menores de cada elemento de la matriz cuadrada original. A la hora de determinar si una matriz cuadrada tiene inversa basta simplemente con averiguar si es o no singular.
La fórmula del polinomio o ecuación característica se expresa mediante un determinante, cuyas soluciones reales son los valores propios de la transformación lineal en cuestión.
Véase también
- Matriz cuadrada
- Matriz adjunta
- Matriz inversa
- Polinomio característico
- Regla de Cramer
- Complemento algebraico
Fuentes
- Colectivo de Autores. Álgebra lineal. Editorial Félix Valera. La Habana, 2003.
- K. Ribnikov. Análisis Combinatorio. Editorial Mir, Moscú. 1988.
- Proskuriakov, I. Problemas de álgebra lineal. [Editorial Mir]], Moscú. 1986.
- Determinante en Wikipedia. Consultado el 27 de septiembre de 2017.





